Peer-reviewed publications series #1
Suppose for some reason you want to know who is in control, the male or the female? Now this is a pretty deep psychological question that is at the heart of countless novels, TV dramas, and the routines of feminist comediennes.
It is central to evolutionary biology theory too. Do females choose mates and so have some control over the genes they pass on to their offspring? Eggs are generally more energetically expensive than sperm so females should be picky and males more profligate.
The male problem is making sure that one of your billions is the one. This explains pair bonds and the so-called ‘sneaky rutting’ so prevalent in birds, and in humans too it seems. Being the one also explains why males compete so emphatically with other males. An essential evolutionary strategy is to beat your rivals to it. Genes for ‘hang back and wait your turn’ rarely persist.
Enter a millipede species from southern Africa, Alloporus uncinatus, in the taxonomic Family Spirostreptidae. This animal is essentially a prehensile tube designed to burrow into soil and glean what can be had from dead vegetation. This simple design is truly ancient. Millipedes have ancestors in the Carboniferous — some 300 million years ago when oxygen levels in the atmosphere were higher and nothing else was big enough to eat them — that were over 2m long and 50cm wide. Truly pythonesque.
Yet the simplicity of this body plan, reduced to more modest proportions in modern species like A. uncinatus, hides some heady complexity. It seems that eons of millipede evolution created very specific sexual practices and accoutrements.
We are talking, multiple partners, rape, the occasional homosexual mistake, sperm competition, mate guarding, and elaborate genitalia. Not bad for a bug shaped like a bendy air hose.
So to the research.
When there is competition between males for females, one way for a male to increase his chance of fertilizing eggs is to hold on to the female for as long as possible and stand guard to prevent other males from doing the deed. An eerily familiar notion.
In millipedes, males do not fight amongst themselves to protect females, but they copulate for a long time, an hour and a half on average, coiling tightly around the female making it very difficult for any other males to try it on. Extend copulation for a long time and it would prevent other males gaining access to the female.

Formally this is called the ‘copulatory-guarding hypothesis’ that predicts that if copulation duration is adaptive then copulations should last longer when the intensity of competition between males is high. Evidence for copulatory guarding has been recorded in some beetles, water striders, and stink bugs.
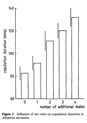
What we did was test the hypothesis with A. uncinatus by introducing additional males to the close confines of a pair already in the midst of the act.
If the hypothesis was true then copulation duration should increase as more males are added. You don’t need a PhD in statistics to confirm what happened, this graph should do it for you.
In this millipede species at least, males guard females from other males just as theory predicts.